Categoria De Importanta A Cladirilor





Categorii Clase Funcţiuni Scenariu Securitate Incendiu

Categorii Clase Funcţiuni Scenariu Securitate Incendiu

Stiaţi Că Lucrările De Construcţii Nu Se Pot Face In Romania Decat De Firme Certificate Colegiul Tehnic Al Diriginţilor De Santier

Stiaţi Că Lucrările De Construcţii Nu Se Pot Face In Romania Decat De Firme Certificate Colegiul Tehnic Al Diriginţilor De Santier

Metodologie Stabilire Categorie Importanta Ctii Civile

Metodologie Stabilire Categorie Importanta Ctii Civile

Categoria De Importanta A Cladirilor

Categoria De Importanta A Cladirilor

1 Alegerea Gradului De Rezistenţă La Foc Asic Asociaţia Pentru Securitatea La Incendiu A Construcţiilor

1 Alegerea Gradului De Rezistenţă La Foc Asic Asociaţia Pentru Securitatea La Incendiu A Construcţiilor

Clasa De Importanta A Constructiilor Urban Ambition

Clasa De Importanta A Constructiilor Urban Ambition

Clasa De Importanta A Constructiilor Urban Ambition

Stabilirea categoriei de importanta a unui bloc de locuinte in bucuresti.

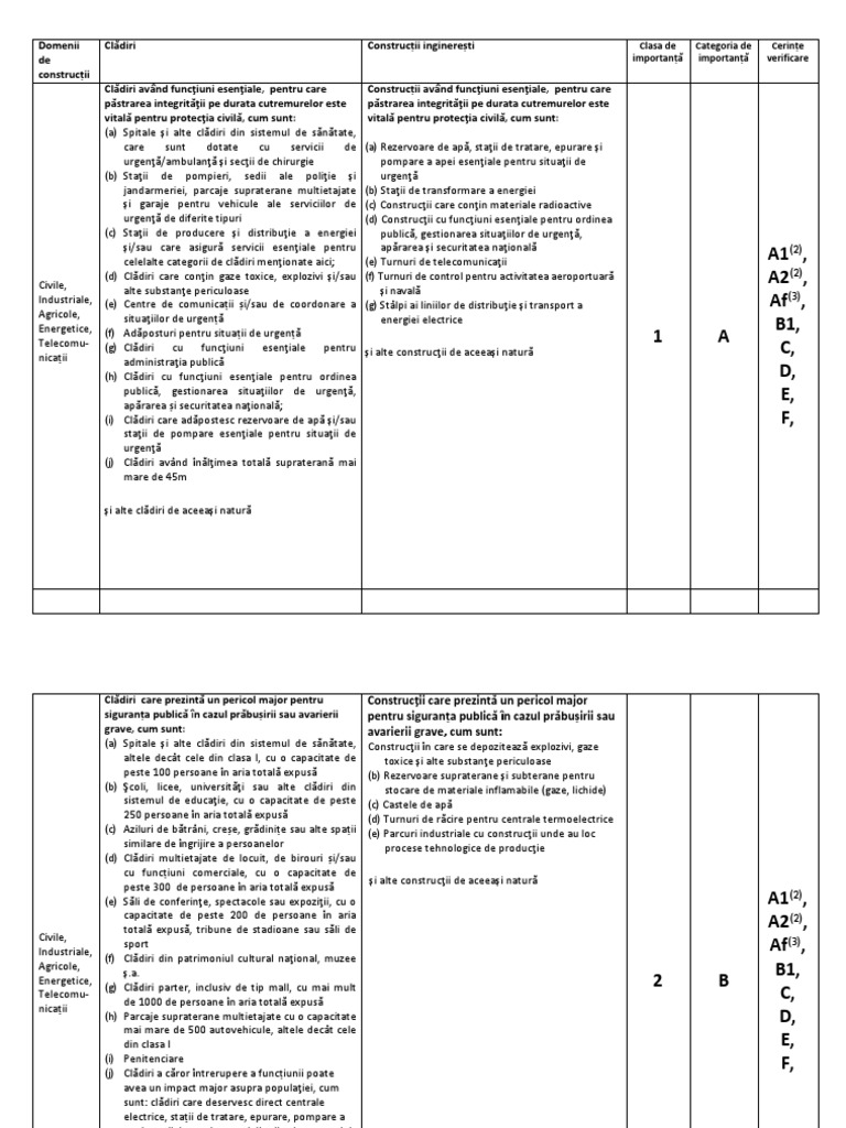
Categoria de importanta a cladirilor. Anexa nr 2a categorii de importanță a construcțiilor listă exemplificativă i. In acest tabel se determina incadrarea cladirii in categoria de importanta specifica. Stabilirea categoriei de importanta are un rol foarte important in etapele conceperii pregatirii proiectarii executiei si exploatarii constructiilor. Importanţa construcţiilor depinde de consecinţele prăbuşirii asupra vieţii oamenilor de rolul lor în siguranţa publică şi.

Necesitatea si rolul ei. 7 categoria de importan se stabileúte de c tre proiectant la cererea investitorului în cazul construc iilor noi sau a proprietarului în cazul construc iilor existente atunci când este necesar pentru lucr ri de interven ii sau în alte cazuri. In functie de categoria de importanta a constructiilor se stabilesc printre altele. Clasificarea functionala dupa destinatie a.

Categoria de importanta a constructiilor. Cladiri si constructii industriale care cuprind cladiri de productie hale ateliere blocuri de fabricatie sta tii pilot etc precum si cladiri si constructii pentru deservi rea productiei magazii depozite silozuri estacade etc. Clădiri de mică importanţă pentru siguranţa publică cu grad re dus de ocupare şi sau de mic ă importan ţă economic ă construc ţii agricole locuinţe unifamiliale. Cladirile in functie de destinatia lor sunt grupate curent.

Categoriile de importanță a construcțiilor se stabilesc în conformitate cu metodologia aprobată de ministerul lucrărilor publice și amenajării teritoriului pentru realizarea unor niveluri de calitate determinate de realizarea exigențelor esențiale ținând seama de următoarele aspecte. Cladirile sunt constructii inchise cu o anumita compartimentare si dotate cu instalatii si echipamente necesare adapostirii oamenilor sau altor vietuitoare activitatii omenilor si produsele muncii lor desfasurarii activitatilor culturale de instruire de sanatate sport odihna etc. Clase de importanţă şi de expunere funcţie de destinaţia construcţiilor diferite structuri necesită diferite niveluri de siguranţă. Pentru factorul 1 importanta vitala cele trei criterii p i din tabelul 1 pg 121 sunt.

Clasele de importanta a constructiilor. Se pot mentiona urmatoarele exemple pentru fiecare clasa in parte precizand totodata ca in functie de cazul concret al unei anumite constructii depinzand de situatia respectiva data anumite subsisteme elemente sau componente precum si instalatiile si echipamentele respective se pot incadra in clase de importanta a restului sistemului cladire. Conform formulei de mai sus p n 4 1 1 x 1 3 2.

Categoriile De Urgenta U1 U3 Construiește Info Informații Corecte Despre Construcții

Categoriile De Urgenta U1 U3 Construiește Info Informații Corecte Despre Construcții

Onofrei Tabel Domenii Si Categorii De Imp 5919ad6db5738 1 Docx

Onofrei Tabel Domenii Si Categorii De Imp 5919ad6db5738 1 Docx

Categ Importanta C Normala

Categ Importanta C Normala

Pdf Extras Ordinul Mlpat 77n28 1 10 Mihai Gaia Academia Edu

Pdf Extras Ordinul Mlpat 77n28 1 10 Mihai Gaia Academia Edu

Cum Se Stabileste Categoria De Importanta A Constructiilor Tkobra

Cum Se Stabileste Categoria De Importanta A Constructiilor Tkobra

4 Categorii Clase De Imp

4 Categorii Clase De Imp

Stas 4273 83 Constructii Hidrotehnice 1 Clase De Importanta Pdf

Stas 4273 83 Constructii Hidrotehnice 1 Clase De Importanta Pdf

Legislatie In Proiectare An 5 Arh By Arhitectura Si Urbanism Upt Issuu

Legislatie In Proiectare An 5 Arh By Arhitectura Si Urbanism Upt Issuu

Clasificare Constructii

Clasificare Constructii

Clasele De Importanta A Constructiilor

Clasele De Importanta A Constructiilor

Http Lthc Ro Docs 2016 2017 Clasificarea Constructiilor C2 Pdf

Http Lthc Ro Docs 2016 2017 Clasificarea Constructiilor C2 Pdf

Categoria De Importanta A Constructiilor Rol Si Mod De Stabilire Tomsbau

Categoria De Importanta A Constructiilor Rol Si Mod De Stabilire Tomsbau

Capitolul I

Capitolul I

Cerinte La Care Se Verifica Tehnic Proiectele De Specialitate

Cerinte La Care Se Verifica Tehnic Proiectele De Specialitate

Source : pinterest.com